Gambar 2 Dimensi Di Buku Gambar

300 Gambar 2 Dimensi Tema Lingkungan Hd Paling Baru Infobaru - Source
Download Gambar 2 Dimensi Di Buku Gambar


300 Gambar 2 Dimensi Tema Lingkungan Hd Paling Baru Infobaru - Source
300 Gambar 2 Dimensi Buah Hd Paling Baru Infobaru - Source

Unduh 67 Gambar Ilustrasi 2 Dimensi Paling Bagus Gratis - Source

Cara Menggambar Buku Tebal - Source

100 Gambar 2 Dimensi Adalah Hd Gratis Infobaru - Source
Autocad 2 Dimensi Dan 3 Dimensi Revisi Pertama Bukabuku - Source

Google Files Patent For Popup Books With Ar Elements - Source
Mading 2 Dimensi Buku Catatan Adetya Rakasihwi - Source
Seni Rupa 2 Dimensi Seni - Source

Izarnazar Mewarnai Gambar 2 Dimensi - Source

Seni Rupa 2 Dimensi Teknik 20 Contoh Unsur Prinsip Fungsi - Source

Pemodelan 2 Dimensi - Source

Jual Buku Cara Mudah Menggambar 2 Dimensi Dan 3 Dimensi - Source

Tips Dan Trik Menggambar 3d Halaman All Kompasiana Com - Source

Amazon Com Cara Mudah Menggambar 2 Dimensi Dan 3 Dimensi - Source

Buku Animasi 2d Kelas 11 Mm Smk - Source

Buku Autocad 2015 2 Dan 2 Dimensi - Source

Jual Buku Umum Seri Buku 2 Dimensi Autocad 2015 Dari - Source
Buku Seri Buku 2 Dimensi Autocad 2015 Daud Pinem Rz Limited - Source

Jual Original Buku Animasi 2 Dimensi Kota Depok Fanya Books Tokopedia - Source

Jual Buku Cad Autocad 2015 2 3 Dimensi Map Vision - Source
![]()
Pemodelan 2 Dimensi - Source

Jual Buku Drama Karya Dalam Dua Dimensi Hasanuddin Ws Kota Yogyakarta Kata Bookstore Tokopedia - Source

Lukisan Vespa Pensil Cikimm Com - Source

Resensi Buku Drama Karya Dalam Dua Dimensi - Source

Buku Pegangan Guru Seni Budaya Sma Kelas 10 Kurikulum 2013 - Source

Buku Pegangan Guru Seni Budaya Sma Kelas 10 Kurikulum 2013 - Source

Pin On Papercut - Source

Buku Pegangan Guru Seni Budaya Sma Kelas 10 Kurikulum 2013 - Source

Buku Jendela Dunia Gambar Tiga Dimensi Rumahku - Source

Jual Seri Buku 2 Dimensi Autocad 2015 Super Cepat Ringkas Menggambar Jakarta Pusat Julbuk03 Tokopedia - Source
Buku Seni Budaya Kelas X Bab I - Source

Otak Atik Bento 2 Dan 3 Dimensi Book By Maryna Roesdy - Source

Jual Buku Teknik Mahir Art Food Carving Membentuk Hiasan - Source
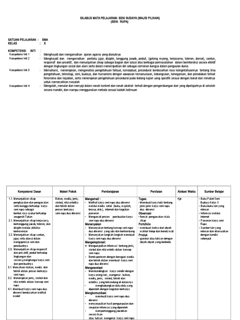
Slbus Seni Rupa - Source

Pinterest Pinterest - Source

Denah Pameran Karya Seni Rupa Dengan 2 Pintu Mello Id - Source

Jual Buku Cad Autocad 2015 2 3 Dimensi Map Vision - Source
Buku Dasar Autocad 2 Dimensi - Source
![]()
Xi 1 Teknik Animasi 2 Dimensi Edit - Source

Jual Asli Autocad 2 Dimensi Dan 3 Dimensi Mhd Daud Pin Buku Komputer Kota Yogyakarta Buku Yogyakarta Tokopedia - Source
Bank Soal Autocad 2 Dimensi Bukabuku Com Toko Buku Online - Source
Desain Cover Buku Coreldraw Edisi Revisi The Magic Of - Source
Autocad 2010 Menggambar Objek 2 Dimensi Dan Solid 3 Dimensi - Source

Xi 2 Teknik Animasi 2 Dimensi2 - Source
Buku Notebook Catatan 3 Anime Sisters 2 Dimensi - Source

Cara Membuat Cover Ebook Buku 3d Tanpa Aplikasi Inwepo - Source
Rpp 1 Seni Rupa - Source

Jual Autocad 2015 2 Dan 3 Dimensi Kota Bandung Biobses Toko Buku Tokopedia - Source
![]()
Mm Teknik Animasi 2 Dimensi Xi 2 Direktorat Pembinaan Smk - Source

Tiga Buku Autocad Kitab Autocad 2 Dimensi Kitab Autocad 3 Dimens Dan Jurus Jurus Sakti Autocad Buku 1 - Source

Informatika Mudah Mendesain Objek 2 3 Dimensi Dengan Catia Buku Software By Mhd Daud Pinem - Source

Buku Tutorial Autocad - Source

Buku Pegangan Guru Seni Budaya Sma Kelas 10 Kurikulum 2013 - Source

Seni Rupa 2 Dimensi Youtube - Source

Jual Buku Cara Mudah Menggambar 2 Dimensi Dan 3 Dimensi - Source

Bookmark Pembatas Buku Gambar 2 3 Dimensi Avila Shop - Source

Modul 12 Buku Modul Belajar Praktisi Algoritma Dan Pemograman Array 2 Dimensi - Source

6000 Gambar 2 Dimensi Tentang Pendidikan Hd Gratis Infobaru - Source

Animasi 2d Buku 1 Kantinsekolah Com - Source
Rpp 1 Seni Rupa Docx - Source

Buku Mendesain Objek 2 3 Dimensi Dengan Catia - Source

Buku Seni Budaya Kelas 11 Sma Ma Smk For Android Apk - Source
7000 Gambar 2 Dimensi Tema Pendidikan Paling Baru Infobaru - Source

Buku Pegangan Guru Seni Budaya Sma Kelas 10 Kurikulum 2013 - Source
Buku Autocad 2015 2 Dan 3 Dimensi Mhd Daud Pinem - Source

Buku Autocad 2015 2 3 Dimensi Daud Pinem Informatika Ihs - Source
Silabus Seni Rupa Kantor 8mei2013 Doc - Source

6000 Gambar 2 Dimensi Tentang Pendidikan Hd Gratis Infobaru - Source

Buku Pegangan Guru Seni Budaya Sma Kelas 10 Kurikulum 2013 - Source
Buku Mendesain Objek 2 Dan 3 Dimensi Dengan Catia - Source

Buku Latihan Dan Soal Gambar 2 Dimensi Dalam Autocad 2000 - Source
Toko Buku Bekas Online Paksrimo 2 Buku Matjam Matjam Alat - Source

Jual Buku Cara Mudah Menggambar 2 Dimensi Dan 3 Dimensi - Source

Buku Kelas 5 Semester 1 Sbk Ktsp Casinomultiprogram - Source

Pemodelan 2 Dimensi - Source

Jual Hard Book 2 Dimensi Buku Anak Cerita Law And Order Tokopedia - Source

Jual Buku Mengoperasikan Software Animasi 2 Dimensi Oleh Tim Digital Studio - Source
Toko Buku Bekas Online Paksrimo 2 Buku Matjam Matjam Alat - Source

Contoh Seni Rupa 2 Dimensi Dan 3 Dimensi Yuksinau Id - Source

Book By Birgit Brauchler Dimensi Budaya Dalam Perdamaian - Source

Seni Rupa 2 Dimensi - Source

Cara Berkarya Seni Rupa Dua Dimensi Dengan Memodifikasi - Source
800 Gambar 2 Dimensi Hewan Hd Terbaik Infobaru - Source
7 Silabus Seni Rupa 13 X New 2 - Source
Buku Dasar Autocad 2 Dimensi - Source
51 Gambar 2 Dimensi Untuk Mading Paling Keren Gambar Pixabay - Source

Buku Mutiara Zuhud Pustaka Arafah Store - Source

Jual Buku 60 Kreasi Kue Kering Spektakuler 2 Dan 3 Dimensi - Source

Diskon Buku Mendesain Objek 2 Dimensi Dan 3 Dimensi Dengan Catia - Source
Jual Buku Diskon Membuat Game 2 Dimensi Dengan Game Maker Studio Kab Sleman Bayu Online Store Books Tokopedia - Source

Download Ebook Buku Teks Teknik Animasi 2d Smk Kurikulum - Source
Buku Latihan Autocad 2004 2 Dimensi Untuk Pemula Bukabuku - Source

Jual Buku Autocad 2 Dimensi Kab Klaten Tyara Putri Tokopedia - Source

Jual Informatika Menjadi Desainer Profesional Autocad 2018 - Source

Buku Pegangan Guru Seni Budaya Sma Kelas 10 Kurikulum 2013 - Source

Buku Kelas 2 Penerbit Buku Lks Di Solo - Source

Komputer Grafis Video Topik 4 Menggambar Bentuk Dua Dimensi - Source

Cinta 2 Dimensi Jasminerenataa19 Wattpad - Source
0 Response to "Gambar 2 Dimensi Di Buku Gambar"
Post a Comment